LECTURAS RELACIONADAS
La actualidad social, comercial y de actividades públicas de Formosa hacen pensar a muchos que las restricciones por la pandemia quedaron en el pasado, pero aún quedan unos pocos rubros limitados para poder trabajar, pese a que prácticamente todas las actividades volvieron a sus quehaceres diarios.
Para nombrar algunos, los salones de fiestas y boliches, todavía no pueden retomar actividades y en tanto, el rubro gastronómico pide la extensión del horario de atención al público, dado que se empieza a sentir el calor en la región y la gente se mueve tarde, escapando de las altas temperaturas del día.
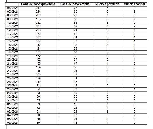
En el cuadro comparativo que preparó NoticiasFormosa, podemos encontrar que la ciudad de Formosa, de los 30 últimos días medidos, un total de 17 días no registró ningún muerto por covid-19.
En tanto, siguiendo con capital, registró un solo fallecido en nueve jornadas, y dos decesos, en 4 jornadas.

En cuanto al número de contagios diarios, al inicio de la medición de NF, el 6 de agosto pasado, los contagios en la provincia alcanzaban 249 positivos, mientras que este 6 de septiembre, bajó a 39 casos. Es decir, se sextuplicó la baja, o dicho de otro modo, cayó a menos del 20 por ciento comparativamente con el día 6 de agosto pasado.
Con estos números, que el propio gobierno celebra y que incluso ya alista a una eventual vuelta a clases masiva de estudiantes en toda la provincia y niveles, hace pensar que los rubros todavía paralizados pueden tener esperanzas de apertura en un futuro cercano, si no surge algún sobresalto epidemiológico o brote.










